ตารางแจกแจงปกติตารางค่า t ตารางค่า X2
หน้าหลัก
บทที่ 1 ความหมายของสถิติ
บทที่ 2 การวัดแนวโน้มเข้าสู่ส่วนกลาง
บทที่ 3 การวัดการกระจาย
บทที่ 4 ค่ามาตรฐาน
บทที่ 5 การประมาณค่า
บทที่ 6 การประมาณค่าผลต่างค่าเฉลี่ยสองประชากร
บทที่ 7 การประมาณค่าสัดส่วน
บทที่ 8 การทดสอบสมมติฐาน
บทที่ 9 การทดสอบค่าเฉลี่ยประชากร
บทที่ 10 การทดสอบผลต่างค่าเฉลี่ยสองประชากร
บทที่ 11 การทดสอบสัดส่วนประชากร
บทที่ 12 การทดสอบไคสแคว์
บทที่ 13 การเคราะห์สหสัมพันธ์
บทที่ 14 การวิเคราะห์การถดถอย

บทที่ 6

การประมาณค่าผลต่างค่าเฉลี่ยของสองประชากร



      การประมาณค่าเฉลี่ยผลต่างระหว่างค่าเฉลี่ยของประชากรสองชุด เป็นการศึกษาว่าปัจจัยเชิงคุณภาพมีผลทำให้ปัจจัยเชิงปริมาณของประชากร 2 กลุ่ม มีค่าแตกต่างกันประมาณเท่าใด
กำหนดให้1 = ค่าเฉลี่ยของประชากรกลุ่มที่ 1
               2 = ค่าเฉลี่ยของประชากรกลุ่มที่ 2

โดยมีการประมาณค่าผลต่างค่าเฉลี่ยของสองประชากรเป็น 2 วิธี คือ      การประมาณค่ามี 2 แบบ คือ
       1. การประมาณค่าผลต่างค่าเฉลี่ยของสองประชากรแบบจุด (Point Estimation)
       2. การประมาณค่าผลต่างค่าเฉลี่ยของสองประชากรแบบช่วง (Interval Estimation)

1. การประมาณค่าผลต่งค่าเฉลี่ยของสองประชากรแบบจุด (Point Estimation)

        จะใช้ 12 เป็นค่าประมาณแบบจุดของ 1 - 2
                   1 = ค่าเฉลี่ยของตัวอย่างกลุ่มที่ 1
                   2= ค่าเฉลี่ยของตัวอย่างกลุ่มที่ 2

Ex.1จากการสอบถามอายุของประชากรในหมู่บ้านสองกลุ่ม
   กลุ่มที่ 1 มีอายุดังนี้   20, 19, 52, 34, 27, 20, 23, 33, 40
   กลุ่มที่ 2 มีอายุดังนี้   14 , 16 , 14 , 17 , 16 , 14 , 18 , 17
  จงประมาณผลต่างค่าเฉลี่ยของอายุประชากรทั้งสองกลุ่มนี้แบบจุด
    วิธีทำ
      ให้ 1 = ค่าเฉลี่ยของตัวอย่างกลุ่มที่ 1
               1 =

             1   =   
             1   =   29.78

ให้ 2 = ค่าเฉลี่ยของตัวอย่างกลุ่มที่ 2
               2 =

             2   =   
             2   =   15.75

             12   = 14.03
             ค่าประมาณผลต่างอายุของประชากรสองกลุ่มเท่ากับ 14.03 ปี


2. การประมาณค่าผลต่างค่าเฉลี่ยของสองประชากรแบบช่วง (Interval Estimation)


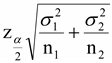
                 1. เมื่อประชากรทั้งสองมีการแจกแจงแบบปกติและรู้ความแปรปรวนประชากร( )

                      ใช้ตัวสถิติ z ในการสร้างช่วงความเชื่อมั่น
                      ให้   1 เป็นค่าเฉลี่ยของตัวอย่างขนาด n 1 ที่สุ่มมาจากประชากรที่ 1 ที่มีการ แจกแจงแบบปกติและมีค่าความแปรปรวน   
ให้   2 เป็นค่าเฉลี่ยของตัวอย่างขนาด n 2 ที่สุ่มมาจากประชากรที่ 2 ที่มีการแจกแจงแบบปกติและมีค่าความแปรปรวน  
                        ดังนั้นช่วงความเชื่อมั่น ( 100 - ) %    ของผลต่างของค่าเฉลี่ยของสองประชากร 1 - 2 จากสูตร
                        - +

Ex.2 จากการสุ่มตัวอย่างการใช้วิทยุมือถือ สอง ชนิด คือ ชนิด A และ ชนิด B ชนิดละ 25 เครื่อง พบว่ามีอายุการใช้งานเฉลี่ย 1,400 ชั่วโมง และ 1,200 ชั่วโมง ตามลำดับ ถ้าอายุการใช้งานของวิทยุมือถือทั้งสองชนิดมีการแจกแจงปกติ และมีส่วนเบี่ยงเบนมาตรฐาน ของอายุการใช้งานเป็น 200 และ 100 ชั่วโมงตามลำดับ จงประมาณผลต่างอายุการใช้งานเฉลี่ยของวิทยุมือถือทั้งสอง ที่ระดับความเชื่อมั่น 95 %
    วิธีทำ
      วิทยุมือถือชนิด A ; n 1 = 25 , 1 = 1,400 , = 2002
      วิทยุมือถือชนิด B ; n 2 = 25 , 2 = 1,200 , = 1002
      เนื่องจากประชากรทั้งสองมีการแจกแจงปกติ ทราบค่า    และ
      ที่ระดับความเชื่อมั่น 95 % ค่าประมาณแบบช่วงสำหรับ
      - +
      (1,400 - 1,200) - 1.96. 1,400 - 1,200) + 1.96.
      200 - 1.96 (44.7214) 200 + 1.96 (44.7214)
      200 - 87.6539 200 + 87.6539
      112.3461 287.6539
      ดังนั้น ที่ระดับความเชื่อมั่น 95 % ค่าประมาณผลต่างอายุการใช้งานเฉลี่ยอยู่ระหว่าง 112.3461 ถึง 287.6539 ชั่วโมง

                 2. เมื่อประชากรทั้งสองมีการแจกแจงแบบปกติแต่ไม่รู้ความแปรปรวนประชากร( )

                      ในกรณีที่ขนาดตัวอย่าง n1 และ n2 มีค่าตั้งแต่ 30 ขึ้นไป ( n1 30 และ n2 30) จะใช้ตัวสถิติ z ในการสร้างช่วงความเชื่อมั่น โดยแทนความแปรปรวนประชากร    และ  
ด้วยความแปรปรวนตัวอย่าง    และ   
                        ดังนั้นช่วงความเชื่อมั่น ( 100 - ) %    ของผลต่างของค่าเฉลี่ยของสองประชากร 1 - 2 จากสูตร
                        - +

Ex.3 จากการสุ่มนักศึกษาวิทยาลัยอาชีวศึกษาสุโขทัย จำนวน 2 กลุ่ม ๆ ละ 30 คน ทำแบบทดสอบวิชาสถิติ แบบเดียวกันได้คะแนนเฉลี่ย 67 และ 60 คะแนน ตามลำดับ และส่วนเบี่ยงเบนมาตรฐาน 5.8 และ 3.5 ตามลำดับ จงประมาณค่าตวามแตกต่างคะแนนเฉลี่ยของนักศึกษา ทั้งสองกลุ่มที่ระดับความเชื่อมั่น 90 %
    วิธีทำ
      นักศึกษากลุ่มที่ 1 ; n 1 = 30 , 1 = 67 , = 5.82
      นักศึกษากลุ่มที่ 2 ; n 2 = 30 , 2 = 60 , = 3.52
      ที่ระดับความเชื่อมั่น 90 % ค่าประมาณแบบช่วงสำหรับ คือ

      - +

      (67 - 60) - 1.645 . (67 - 60) + 1.645 .
      7 - 1.645 (1.2368) 7 + 1.645 (1.2368)
      7 - 2.03 7 + 2.03
      4.1183 9.8817
      ดังนั้น ที่ระดับความเชื่อมั่น 90 % ค่าประมาณผลต่างของคะแนนสอบอยู่ระหว่าง 4.1183 ถึง 9.8817 คะแนน

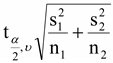
                 3. เมื่อประชากรทั้งสองมีการแจกแจงแบบปกติแต่ไม่รู้ความแปรปรวนประชากร( )

                                       ในกรณีที่ขนาดตัวอย่าง n1 และ n2 มีค่าน้อยกว่า 30 ( n1< 30 และ n2 < 30) จะใช้ตัวสถิติ t ในการสร้างช่วงความเชื่อมั่น โดยแบ่งออกเป็นสองกรณี ดังนี้
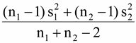
                     3.1 เมื่อรู้ค่า    =   
                        ใช้ความแปรปรวนร่วม   แทนความแปรปรวนตัวอย่าง    และ   
ซึ่งสามารถหาค่า      ได้จากสูตร
                          =   
                        โดยมีค่า df = n1 + n2 - 2
                        ดังนั้นช่วงความเชื่อมั่น ( 100 - ) %    ของผลต่างของค่าเฉลี่ยของสองประชากร 1 - 2 จากสูตร
                        - +

Ex.4 จากการสุ่มนักศึกษาวิทยาลัยอาชีวศึกษาสุโขทัย จำนวน 2 กลุ่ม กลุ่มที่ 1 จำนวน 10 คน และกลุ่มที่ 2 จำนวน 8 คน ทำแบบทดสอบวิชาสถิติ แบบเดียวกันได้คะแนนเฉลี่ย 85 และ 60 คะแนน ตามลำดับ และส่วนเบี่ยงเบนมาตรฐาน 5 และ 7 ตามลำดับ ถ้าสมมติว่านักศึกษาทั้งสองกลุ่ม ได้จากประชากรที่แจกแจงปกติ ซึ่งมีค่าความแปรปรวนเท่ากัน จงประมาณค่าตวามแตกต่างคะแนนเฉลี่ยของนักศึกษา ทั้งสองกลุ่มที่ระดับความเชื่อมั่น 99 %
    วิธีทำ
      นักศึกษากลุ่มที่ 1 ; n 1 = 10 , 1 = 85 , = 52
      นักศึกษากลุ่มที่ 2 ; n 2 = 8 , 2 = 60 , = 72
      เนื่องจากไม่ทราบค่า และตัวอย่างทั้งสองมีขนาดเล็ก(n1< 30 และ n2 < 30)
      * แต่ทราบว่า*    =   
      ที่ระดับความเชื่อมั่น 99 % ค่าประมาณแบบช่วงสำหรับ คือ

      - +

        =   
        =   
        =   35.5
        =    5.9582
      และ df   =    10 + 8 - 2 = 16    ค่า    ,16   =   2.921
      (85 - 60) - 2.921(5.9582). (85 - 60) + 2.921(5.9582).
      25 - 2.921(2.8262) 25 + 2.921(2.8262)
      25 - 8.2553 25 + 8.2553
      16.74 33.26
      ดังนั้นผลต่างของคะแนนสอบของนักศึกษาทั้งสองกลุ่มอยู่ระหว่าง 16.74 ถึง 33.26 คะแนน ที่ระดับความเชื่อมั่น 99%

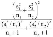
                     3.2 เมื่อรู้ค่า      
                     กรณีนี้จะใช้ค่าความแปรปรวนตัวอย่าง    และ    ในการคำนวณ
                      ดังนั้นช่วงความเชื่อมั่น ( 100 - ) %    ของผลต่างของค่าเฉลี่ยของสองประชากร 1 - 2 ในกรณี      
                      จากสูตร
                        - +

                        โดยมีค่า df =  

                        และ    =   

Ex.5 จากการสุ่มนักศึกษาวิทยาลัยอาชีวศึกษาสุโขทัย จำนวน 2 กลุ่ม กลุ่มที่ 1 จำนวน 8 คน และกลุ่มที่ 2 จำนวน 8 คน พบว่ามีค่าใช้จ่ายเฉลี่ยต่อวัน เป็น 38 และ 34 บาท ตามลำดับ และค่าความแปรปรวนเป็น 24 และ 4 ตามลำดับ ถ้าสมมติว่านักศึกษาทั้งสองกลุ่ม ได้จากประชากรที่แจกแจงปกติ ซึ่งมีค่าความแปรปรวนไม่เท่ากัน จงประมาณค่าความแตกต่างของค่าใช้จ่ายเฉลี่ยของนักศึกษา ทั้งสองกลุ่มที่ระดับความเชื่อมั่น 90 %     วิธีทำ
   &
nbsp;  นักศึกษากลุ่มที่ 1 ; n 1 = 8 , 1 = 38 , = 24
      นักศึกษากลุ่มที่ 2 ; n 2 = 8 , 2 = 34 , = 4
      เนื่องจากไม่ทราบค่า และตัวอย่างทั้งสองมีขนาดเล็ก(n1< 30 และ n2 < 30)
      * แต่ทราบว่า*   
      ที่ระดับความเชื่อมั่น 99 % ค่าประมาณแบบช่วงสำหรับ คือ

      - +

         =   
         =   
              =   
              =    9.2703
              =    9
              df =    9,   , 9  =   1.833

              (38 - 34) - 1.833. (38 - 34) + 1.833.
              4 - 1.833(1.80708) 4 + 1.833(1.80708)
              4 - 3.4292 4 + 3.4292
              0.5708 7.4292
              ดังนั้น ที่ระดับความเชื่อมั่น 90 % ผลต่างของค่าใช้จ่ายเฉลี่ยต่อวันของนักศึกษาอยู่ระหว่าง 0.5708 ถึง 7.4292 บาทต่อวัน

กลับหน้าหลัก
พัฒนาโดยนายธีระพงษ์ กระการดี วิทยาลัยอาชีวศึกษาสุโขทัย