ตารางแจกแจงปกติตารางค่า t ตารางค่า X2
หน้าหลัก
บทที่ 1 ความหมายของสถิติ
บทที่ 2 การวัดแนวโน้มเข้าสู่ส่วนกลาง
บทที่ 3 การวัดการกระจาย
บทที่ 4 ค่ามาตรฐาน
บทที่ 5 การประมาณค่า
บทที่ 6 การประมาณค่าผลต่างค่าเฉลี่ยสองประชากร
บทที่ 7 การประมาณค่าสัดส่วน
บทที่ 8 การทดสอบสมมติฐาน
บทที่ 9 การทดสอบค่าเฉลี่ยประชากร
บทที่ 10 การทดสอบผลต่างค่าเฉลี่ยสองประชากร
บทที่ 11 การทดสอบสัดส่วนประชากร
บทที่ 12 การทดสอบไคสแคว์
บทที่ 13 การเคราะห์สหสัมพันธ์
บทที่ 14 การวิเคราะห์การถดถอย

บทที่ 3

การวัดการกระจาย (Measure of Dispersion)

     

การใช้สถิติเกี่ยวกับการวัดแนวโน้มเข้าสู่ส่วนกลาง ซึ่งเป็นค่าที่ทำ หน้าที่เป็นตัวแทนกลุ่มข้อมูล เพียงอย่างเดียว เมื่อแปลความหมายข้อมูลจึงยังไม่สมบูรณ์ ไม่ชัดเจน และ มีโอกาสคลาดเคลื่อนได้ สิ่งที่ ควรน3มาพิจารณาควบคู่ไปกับการวัดแนวโน้มเข้าสู่ส่วนกลางก็คือ ลักษณะการกระจายของกลุ่มข้อมูล ซึ่งสถิติที่ใช้คือ การวัดการกระจาย การที่ข้อมูลแต่ละชุดมีค่าต่าง ๆ กันนั้นเราเรียกว่า ข้อมูลมีการกระจาย ถ้าข้อมูลชุดนั้นประกอบ ด้วยค่าแตกต่างกันมาก เรียกว่า ข้อมูลมีการกระจายมาก ถ้าข้อมูลชุดนั้นประกอบด้วยค่าต่าง ๆ แตกต่าง กันน้อย หรือมีค่าใกล้เคียงกันเรียกว่า ข้อมูลมีการกระจายน้อย ถ้าข้อมูลนั้นประกอบด้วยค่าต่าง ๆ เท่ากัน หมด เรียกว่า ข้อมูลไม่มีการกระจาย
ข้อมูลชุดที่ 1 : 9 , 12 , 37 , 73 , 105
ข้อมูลชุดที่ 2 : 52 , 60 , 63 , 61 , 65
ข้อมูลชุดที่ 3 : 35 , 35 , 35 , 35 , 35

       จากข้อมูลทั้ง 3 ชุด เมื่อเปรียบเทียบแล้วพบว่า ข้อมูลชุดที่ 1 มีการกระจายมากที่สุด ข้อมูลชุดที่ 2 มีการกระจายรองลงมา ส่วนข้อมูลชุดที่ 3 ไม่มีการกระจาย ในการเปรียบเทียบข้อมูลหลาย ๆ ชุดว่าแตกต่างกันหรือไม่ ควรจะต้องพิจารณาถึงค่าเฉลี่ย และ การกระจายของข้อมูลควบคู่กันไปด้วย เพื่อจะช่วยให้สรุปหรือแปลความหมายได้อย่างถูกต้อง เช่น เด็ก นักเรียนกลุ่มหนึ่งวัดคะแนนสอบวิชาภาษาไทยได้ 75 , 87 , 115 , 118 , 130 เด็กนักเรียนกลุ่มสองวัด คะแนนสอบวิชาภาษาไทยได้ 100 ,100 , 105 ,110 , 110 ค่าเฉลี่ยของคะแนน 2 ชุดนี้เท่ากัน คือ 105 ถ้าพิจารณาเฉพาะค่าเฉลี่ยจะสรุปได้ว่านักเรียน 2 กลุ่มนี้ มีคะแนนสอบวิชาภาษาไทยอยู่ในระดับเดียวกัน แต่เมื่อพิจารณาจากคะแนนแต่ละชุดจะพบว่าคะแนนสอบวิชาภาษาไทยของนักเรียนกลุ่มหนึ่งแตกต่าง กันมากกว่า คะแนนสอบวิชาภาษาไทยของนักเรียนในกลุ่มที่สอง นั่นคือ ตามข้อสรุปแล้วคะแนนสอบ วิชาภาษาไทยของนักเรียน 2 กลุ่มนี้แตกต่างกัน ดังนั้น จึงสรุปได้ว่าถ้าต้องการบรรยายลักษณะของข้อมูล ให้ถูกต้องสมบูรณ์จะต้องวัดแนวโน้มเข้าสู่ส่วนกลางควบคู่ไปกับการวัดการกระจายด้วยเสมอ

       การวัดการกระจาย แบ่งได้ 2

           1.การวัดการกระจายสัมบูรณ์ (Absolute Variation) เป็นการวัดการกระจายข้อมูลเพียงชุดเดียว มีดังนี้
               1. พิสัย (Range : R)
               2. ส่วนเบี่ยงเบนมาตรฐาน (Standard Deviation : S.D.,S,s)

พิสัย (Range : R)


        พิสัย หมายถึง การหาการกระจายของข้อมูลโดยนำข้อมูลที่มีค่าสูงที่สุด ลบกับข้อมูลที่มีค่าต่ำที่สุด เพื่อให้ได้ค่าที่เป็นช่วงของการกระจาย ซึ่งสามารถบอกถึงความกว้างของข้อมูลชุดนั้นๆ สำหรับสูตรที่ใช้ในการหาพิสัยคือ

        พิสัย (R) = Xmax - Xmin
Ex1. จงหาพิสัยจากข้อมูลชุดนี้ 25,19,32,29,19,21,22,31,19,20,15,22,23,20


วิธีทำ

               สูตร พิสัย (R) = Xmax - Xmin               = 32 - 15
                                                                           = 17
                                ข้อมูลชุดนี้มีพิสัย(R) เท่ากับ 17
                                 ดังนั้นความแตกต่างของข้อมูลสูงสุดกับข้อมูลต่ำสุดมีค่าเท่ากับ 17


ส่วนเบี่ยงเบนมาตรฐาน (Standard Deviation : S.D.,S,s)


        ส่วนเบี่ยงเบนมาตรฐานเป็นค่าวัดการกระจายที่สำคัญทางสถิติ เพราะเป็นค่าที่ใช้บอกถึงการกระจายของข้อมูลได้ดีกว่าค่าพิสัย และค่าส่วนเบี่ยงเบนเฉลี่ย

        การหาส่วนเบี่ยงเบนมาตรฐานสามารถหาได้ 2 วิธี

        1.การหาส่วนเบี่ยงเบนมาตรฐาน(S.D.) ในกรณีข้อมูลไม่ได้มีการแจกแจงความถี่
          สามารถหาได้จากสูตร

       สุตรที่ 1     หรือ

      สูตรที่ 2   

       เมื่อ   S.D. คือ ส่วนเบี่ยงเบนมาตรฐาน
         
                   คือ ข้อมูล ( ตัวที่ 1,2,3...,n)
                   คือ ค่าเฉลี่ยเลขคณิต
                 คือ จำนวนข้อมูลทั้งหมด
                 หมายเหตุ ในกรณีที่ เป็นทศนิยมทำให้เกิดความยุ่งยากในการคำนวณ จึงควรเลือกใช้สูตรที่ 2

Ex2.จากข้อมูลต่อไปนี้จงหาส่วนเบี่ยงเบนมาตรฐาน 1, 2, 4, 6, 8, 9
       

วิธีทำ

       ใช้สูตรที่ 2   
                             หาค่า =
                                        = 1 + 4 + 16 + 36 + 64 + 91
                                        = 212
                             หาค่า = 1 + 2 + 4 + 6 + 8 + 9
                                       = 30
                                    = 302
                                    = 900
                                       = 6
                             แทนค่าในสูตร
                                  
                                  
                                   S.D. = 3.52

                2.การหาส่วนเบี่ยงเบนมาตรฐาน(S.D.) ในกรณีข้อมูลมีการแจกแจงความถี่
                    สามารถหาได้จากสูตร
                          1.
                 หรือ 2.

                               S.D. คือ ส่วนเบี่ยงเบนมาตรฐาน
                                คือ ความถี่
                                คือ จุดกึ่งกลางชั้น
                                คือ ค่าเฉลี่ยเลขคณิต
                               คือ จำนวนข้อมูล
Ex3.จากตารางข้อมูลต่อไปนี้จงหาส่วนเบี่ยงเบนมาตรฐาน

คะแนน ความถี่( )
5-9 3
10-14 6
15-19
7
20-24
8
25-29
10
30-34
12
35-39
14


        วิธีทำ ใช้สูตรที่ 2

               สร้างตารางแจกแจงความถี่

คะแนน
5-9 37 49 21 147
10-14 612 144 72
864
15-19
7
17
289
119
2023
20-24
8
22
484
176
3872
25-29
10
27
729
270
7290
30-34
12
32
1024
384
12288
35-39
14
37
1369
148
19166
.
= 60
.
.
= 1190
= 45650

                1. หาค่าเฉลี่ยเลขคณิต จากสูตร =
                                                                          =

                                                                          = 19.83

               2.หาส่วนเบี่ยงเบนมาตรฐาน จากสูตร        
                                                                                          =
                                                                                          =
                                                                                          = 8.79
                                               ส่่วนเบี่ยงเบนมาตรฐาน คือ 8.79

       * หมายเหตุ* ความแปรปรวน หาได้จาก (S.D)2


           2.การวัดการกระจายสัมพัทธ์ (relative Variation)
              คือ การหาค่าเพื่อเปรียบเทียบการกระจายระหว่างข้อมูลมากกว่าหนึ่งชุด โดยใช้อัตราส่วน การเปรียบเทียบการกระจายของข้อมูลระหว่างชุดที่นิยมใช้มี 2 ชนิดคือ

                             1. สัมประสิทธิ์ของพิสัย(coefficient of range)
                             2.สัมประสิทธิ์ของการแปรผัน(coefficient of variation)

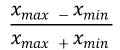
1. สัมประสิทธิ์ของพิสัย(coefficient of range) คือ อัตราส่วนระหว่างผลต่างของค่าสูงสุดและค่าต่ำสุด กับผลบวกของค่าสูงสุดและต่ำสุดของข้อมูลชุดนั้น
                             หาได้จากสูตร                            
Ex4. จงหาสัมประสิทธิ์พิสัยจากข้อมูลชุดนี้ 25,19,32,29,19,21,22,31,19,20,15,22,23,20

      วิธีทำ

                      สูตร =
                              =
                              =
                              = .3617 ทำเป็นเปอร์เซ็นต์ด้วยการ x 100
                              = 36.17%
                     ดังนั้นสัมประสิทธิ์พิสัยของข้อมูลชุดนี้ = 36.17%

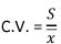
2. สัมประสิทธิ์ของการแปรผัน(coefficient of variation) ตัวย่อ(C.V.) อัตราส่วนระหว่างส่วนเบี่ยงเบนมาตรฐานกับค่าเฉลี่ยเลขคณิตของข้อมูลชุดนั้น
                      สูตร   
                      เมื่อ C.V. คือ สัมประสิทธิ์ของการแปรผัน
                                s คือส่วนเบี่ยงเบนมาตรฐาน
                              คือค่าเฉลี่ยเลขคณิต

          จาก Ex3. จงหาสัมประสิทธื์การแปรผัน

              จะได้ = 19.83
              จะได้ S (S.D.) = 8.79
              
                     = 8.79
                        19.83
                    = 0.3584 ทำเป็นเปอร์เซ็นต์ด้วยการ x 100
                  ดังนั้นสัมประสิทธิ์พิสัยของข้อมูลชุดนี้ = 35.84 %

กลับหน้าหลัก
พัฒนาโดยนายธีระพงษ์ กระการดี วิทยาลัยอาชีวศึกษาสุโขทัย