ตารางแจกแจงปกติตารางค่า t ตารางค่า X2
หน้าหลัก
บทที่ 1 ความหมายของสถิติ
บทที่ 2 การวัดแนวโน้มเข้าสู่ส่วนกลาง
บทที่ 3 การวัดการกระจาย
บทที่ 4 ค่ามาตรฐาน
บทที่ 5 การประมาณค่า
บทที่ 6 การประมาณค่าผลต่างค่าเฉลี่ยสองประชากร
บทที่ 7 การประมาณค่าสัดส่วน
บทที่ 8 การทดสอบสมมติฐาน
บทที่ 9 การทดสอบค่าเฉลี่ยประชากร
บทที่ 10 การทดสอบผลต่างค่าเฉลี่ยสองประชากร
บทที่ 11 การทดสอบสัดส่วนประชากร
บทที่ 12 การทดสอบไคสแคว์
บทที่ 13 การเคราะห์สหสัมพันธ์
บทที่ 14 การวิเคราะห์การถดถอย

บทที่ 2

การวัดแนวโน้มเข้าสู่ส่วนกลาง (measures of central tendency)

     

       การวัดแนวโน้มเข้าสู่ส่วนกลางเป็นระเบียบวิธีทางสถิติในการหาค่าเพียงค่าเดียวที่จะใช้เป็นตัวแทนของข้อมูลทั้งชุด ค่าที่หาได้นี้จะทำให้สามารถทราบถึงลักษณะของข้อมูลทั้งหมดที่เก็บรวบรวมมาได้ ค่าที่หาได้นี้จะเป็นค่ากลาง ๆ เรียกว่า ค่ากลาง
        ประเภทของการวัดแนวโน้มเข้าสู่ส่วนกลาง การวัดแนวโน้มเข้าสู่ส่วนกลางมีอยู่หลายวิธีด้วยกัน ที่นิยมกันมาก ได้แก่
          1. มัชฌิมเลขคณิต (Arithmetic Mean)
          2. มัธยฐาน (Median)
          3. ฐานนิยม (Mode)
         

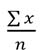
ค่าเฉลี่ยเลขคณิต (Arithmetic Mean)

        หมายถึง การหารผลรวมของข้อมูลทั้งหมดด้วยจำนวนข้อมูลทั้งหมด     การหาค่าเฉลี่ยเลขคณิตสามารถหาได้ 2 วิธี

         1. ค่าเฉลียเลขคณิตของข้อมูลที่ไม่ได้แจกแจงความถี่
               สามารถคำนวณได้จากสูตร

                              =

                       เมื่อ (เอ็กซ์บาร์) คือ ค่าเฉลี่ยเลขคณิต
                                   คือ ผลบวกของข้อมูลทุกค่า
                                     คือ จำนวนข้อมูลทั้งหมด
Ex.จากการสอบถามอายุของนักเรียนกลุ่มหนึ่งเป็นดังนี้ 14 , 16 , 14 , 17 , 16 , 14 , 18 , 17 จงหาค่าเฉลี่ยเลขคณิตของอายุนักเรียนกลุ่มนี้

               วิธีทำ    =

                            = =
                            = 15.75

                             ดังนั้นค่าเฉลี่ย อายุนักเรียนกลุ่มนี้    = 15.75 ปี

          2. ค่าเฉลี่ยเลขคณิตของข้อมูลที่แจกแจงความถี่
                    สามารถคำนวณได้จากสูตร

                              =
                       เมื่อ (เอ็กซ์บาร์) คือ ค่าเฉลี่ยเลขคณิต
                               คือ ความถี่ของข้อมูล
                               คือ ค่าของข้อมูล(ในกรณีการแจกแจงความถี่ไม่เป็นอันตรภาคชั้น)
                                            หรือ จุดกึ่งกลางของอันตรภาคชั้น(ในกรณีการแจกแจงความถี่เป็นอันตรภาคชั้น) หาได้จาก                                                                              
                               คือ ผลรวมความถี่ทั้งหมด หรือ จำนวนข้อมูลทั้งหมด

                         2.1 การหาค่าเฉลี่ยเลขคณิตข้อมูลที่แจกแจงความถี่ในกรณีที่ข้อมูลไม่เป็นอันตรภาคชั้น

Ex.จากการสอบถามอายุของนักเรียนกลุ่มหนึ่งเป็นดังนี้ 14 , 16 , 14 , 17 , 16 , 14 , 18 , 17 จงหาค่าเฉลี่ยเลขคณิตของอายุนักเรียนกลุ่มนี้

               วิธีทำ  สร้างตารางแจกแจกความถี่ข้อมูล

ค่าข้อมูล() ความถี่( )
14 3 42
16 2 32
17 2 34
18 1 18
. = 8 = 126

แทนค่าสูตร    =
                       =
                       = 15.75

ดังนั้นค่าเฉลี่ย อายุนักเรียนกลุ่มนี้    = 15.75 ปี


                         2.2 การหาค่าเฉลี่ยเลขคณิตข้อมูลที่แจกแจงความถี่ในกรณีที่ข้อมูลเป็นอันตรภาคชั้น (Class Interval) หรือเรียกสั้นๆ ว่า ชั้น หมายถึง ช่วงของคะแนนในแต่ละพวกที่แบ่ง

Ex. จากข้อมูลในตารางแจกแจงความถี่ จงหาค่าเฉลี่ยเลขคณิต

คะแนน
ความถี่
5-9
3
10-14
4
15-19
3
20-24
7
25-29
6
30-34
4
35-39
2
40-44
3
.
N=32

               วิธีทำ

คะแนน
ความถี่()
จุดกื่งกลางอันตรภาคชั้น()
5-9
3
7
21
10-14
4
12
48
15-19
3
17
51
20-24
7
22
154
25-29
6
27
162
30-34
4
32
128
35-39
2
37
74
40-44
3
42
126
.
N=32
.
= 764

แทนค่าสูตร    =
                       =
                       = 23.86 ปี

ดังนั้นค่าเฉลี่ย อายุนักเรียนกลุ่มนี้    = 23.86 ปี


มัธยฐาน (Median)

       มัธยฐาน หมายถึง ค่ากึ่งกลางของข้อมูลชุดนั้น หรือค่าที่อยู่ในตำแหน่งกึ่งกลางของข้อมูลชุดนั้น เมื่อได้จัดเรียงค่าของข้อมูลจากน้อยที่สุด ไปหามากที่สุดหรือจาหมากที่สุกไปหาน้อยที่สุด ค่ากึ่งกลางจะเป็นตัวแทนที่แสดงว่ามีข้อมูลที่มากกว่าและน้อนกว่านี้อยู่ 50 %

       การหารค่ามัธยฐาน สามารถหาได้ 2 วิธี
         
1. การหามัธยฐานของข้อมูลที่ไม่แจกแจงความถี่ ซึ่งมีวิธีหาได้ดังนี้

             1.1 เรียงข้อมูลจากน้อิยไปมาก หรือจากมากไปน้อย

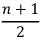
             1.2 หาตำแหน่งของมัธยฐาน จาก

                  เมื่อ = จำนวนข้อมูลทั้งหมด

Ex. จงหามัธยฐานของข้อมูลต่อไปนี้ 9,10,5,11,14,6,16,17,13

วิธีทำ     เรียงข้อมูลที่มีค่าน้อยที่สุดไปหาข้อมูลที่มีค่ามากที่สุดคือ 5, 6, 9, 10, 11, 13, 14, 16,17

              หาตำแหน่งมัธยฐาน    = = 5

              มัธยฐานของข้อมูล= 11


Ex.จงหามัธยฐานของข้อมูลต่อไปนี้ 40, 35, 24, 28, 26, 29, 36, 31, 42, 20, 23, 32

วิธีทำ เรียงข้อมูลจากข้อมูลที่มีค่าน้อยที่สุดไปหาข้อมูลทีมีค่ามากที่สุดคือ 20, 23, 24, 26, 28, 29, 31, 32, 35, 36, 40, 42, ซึ่ง n = 12
             ตำแหน่งมัธยฐาน =   

                                          =   
                                          =     6.5

                  มัธยฐานอยู่ในตำแหน่ง ที่ 6.5 อยู่ระหว่าง 29 กับ 31

                  มัธยฐานเท่ากับ    

                 มัธยฐานคือ      30

         
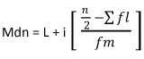
2. การหามัธยฐานของข้อมูลที่แจกแจงความถี่

            คำนวณได้่จากสูตร     

           เมื่อ  Mdn = มัธยฐาน ( Median )
                       L = ขีดจำกัดล่างที่แท้จริงของชั้นที่มีมัธยฐานอยู่
                       i = ความกว้างของอันตรภาคชั้น
                       = ความถี่สะสมชั้นที่อยู่ก่อนชั้นที่มีมัธยฐานไปหาคะแนนน้อย
                       = ความถี่ของคะแนนในชั้นที่มีมัธยฐาน
                           คือตำแหน่งมัธยฐาน

Ex. จากข้อมูลในตารางแจกแจงความถี่ จงหาค่ามัธยฐาน

คะแนน
ความถี่
5-9
3
10-14
4
15-19
3
20-24
7
25-29
6
30-34
4
35-39
2
40-44
3
.
n=32


                 วิธีทำ

                 -หาความถี่สะสม

คะแนน
ความถี่
ความถี่สะสม
5-9
3
3
10-14
4
7
15-19
3
10
20-24
7
17
25-29
6
23
30-34
4
27
35-39
2
29
40-44
3
32
.
n=32
.

                 -หาตำแหน่งมัธยฐานจาก     =     =    16     ค่ามัธยฐานที่อยู่ในชั้น 20 - 24

                 จากสูตร     

                 L = 20 - 0.5 = 19.5
                 i = 5
                 = 10
                 = 7
                     แทนค่าในสูตร   =  19.5 - 4.2   =  23.7

                     มัธยฐานคือ 23.7
         

ฐานนิยม(Mode)

        ฐานนิยมหมายถึง ค่าของคะแนนที่ซ้ำกันมากที่สุดหรือ ค่าคะแนนที่มีความถี่สูงที่สุดในข้อมูลชุดนั้น

       การหารค่าฐานนิยม สามารถหาได้ 2 วิธี

          1. ฐานนิยมของข้อมูลที่ไม่แจกแจงความถี่

               พิจารณาค่าของข้อมูลที่ซ้ำกันมากที่สุด คือฐานนิยม

Ex.จงหาฐานนิยมของข้อมูลต่อไปนี้ 3, 2, 4, 5, 6, 4, 8, 4, 7, 10
              ข้อมูลที่ซ้ำกันมากที่สุดคือ 4
              ฐานนิยมคือ 4

ข้อมูลบางชุดอาจมีฐานนิยม 2 ค่า เช่น 10, 14, 12, 10, 11, 13, 12, 14, 12, 10
               ข้อมูลที่ซ้ำกันมากที่สุดคือ 10 กับ 12
               ฐานนิยม คือ 10 กับ 12
ข้อมูลบางชุดอาจจะไม่มีฐานนิยมซึ่ง ได้แก่
               ข้อมูลที่ไม่มีรายการซ้ำกันเลย เช่น 8, 9, 10, 11, 13, 15

          2. ฐานนิยมของข้อมูลที่แจกแจงความถี่

                    คำนวณได้จากสูตร    

                    เมื่อ Mo = ฐานนิยม (Mode)

                             L = ขีดจำกัดล่างของคะแนนในชั้นที่มีความถี่สูงสุด
                             i = ความกว้างอันตรภาคชั้น
                             = ผลต่างของความถี่มากที่สุดกับความถี่ของชั้นก่อนหน้า
                             = ผลต่างของความถี่มากที่สุดกับความถี่ของชั้นที่ถัดไปทางคะแนนมาก

Ex. จากข้อมูลในตารางแจกแจงความถี่ จงหาค่าฐานนิยม

คะแนน
ความถี่
5-9
3
10-14
4
15-19
3
20-24
7
25-29
6
30-34
4
35-39
2
40-44
3
.
N=32
                

วิธีทำ

                     . ค่าฐานนิยมอยู่ในอันตรภาคชั้น 20 -24 (ค่าที่มีความถี่มากที่สุด)
                    
                     จากสูตร

                         1. L = 20 - 0.5 = 19.5
                         2. i = 5
                         3. = 7 - 3 = 4
                         4.= 7 - 6 = 1
                         แทนค่าในสูตร = 19.5 + 4 = 23.5

ดังนั้น ฐานนิยมของข้อมูลในตารางนี้คือ 23.5

ในกรณีที่หาค่ามัชฌิเลขคณิตและมัธยฐานได้แล้ว สามารถที่จะนำมาคำนวณหาฐานนิยมได้ โดยใช้สูตร

Mode = 3Median - 2Mean

กลับหน้าหลัก
พัฒนาโดยนายธีระพงษ์ กระการดี วิทยาลัยอาชีวศึกษาสุโขทัย