ตารางแจกแจงปกติตารางค่า t ตารางค่า X2
หน้าหลัก
บทที่ 1 ความหมายของสถิติ
บทที่ 2 การวัดแนวโน้มเข้าสู่ส่วนกลาง
บทที่ 3 การวัดการกระจาย
บทที่ 4 ค่ามาตรฐาน
บทที่ 5 การประมาณค่า
บทที่ 6 การประมาณค่าผลต่างค่าเฉลี่ยสองประชากร
บทที่ 7 การประมาณค่าสัดส่วน
บทที่ 8 การทดสอบสมมติฐาน
บทที่ 9 การทดสอบค่าเฉลี่ยประชากร
บทที่ 10 การทดสอบผลต่างค่าเฉลี่ยสองประชากร
บทที่ 11 การทดสอบสัดส่วนประชากร
บทที่ 12 การทดสอบไคสแคว์
บทที่ 13 การเคราะห์สหสัมพันธ์
บทที่ 14 การวิเคราะห์การถดถอย

บทที่ 14

การวิเคราะห์ถดถอย(Regression Analysis)


        การวิเคราะห์ถดถอย เป็นวิธีการทางสถิติที่ศึกษาความสัมพันธ์ของตัวแปรที่ทราบค่าเรียกว่าตัวแปรอิสระ(Idepedent variation) หรือเรียกว่าตัวพยากรณ์(Prediction) นิยมใช้สัญลักษณ์ X ซึ่งสามารถนำมาพยากรณ์ค่าของตัวแปรอีกตัวหนึ่งได้ เรียกว่า ตัวแปรตาม (Depedent variation) ใช้สัญลักษณ์ Y
        ข้อแตกต่างระหว่างการการถดถอยกับการวิเคราะห์สหสัมพันธ์ คือ การวิเคราะห์สหสัมพันธ์เพียงแต่ศึกษาว่าตัวแปรมีความสัมพันธ์กันมากน้อยหรือไม่ มีขนาดและทิศทางเป็นอย่างไร แต่ไม่ได้ใช้พยากรณ์ ส่วนการวิเคราะห์การถดถอยสามารถใช้พยากรณ์ได้ด้วย

        การวิเคราะห์ถดถอยแบ่งออกเป็น 2 ประเภท
            1. การวิเคราะห์ถดถอยอย่างง่าย(Simple Regreesion Analysis)
            2. การวิเคราะห์ถดถอยเชิงซ้อน(Multible Regreesion Analysis)

        การศึกษาถึงความสัมพันธ์ระหว่างตัวแปร 2 ตัว ที่สามารถบอกได้ว่าตัวแปรใดเป็นตัวแปรอิสระและตัวแปรใดเป็นตัวแปรตาม ซึ่งความสัมพันธ์ ของตัวแปรทั้งสองจะอยู่ในรูปแบบใดๆ เช่นเส้นตรง เส้นโค้ง ฯลฯ ในระดับนี้จะกล่างถึงเฉพาะความสัมพันธ์ลักษณะเส้นตรงเท่านั้น ซึ่งเรียกว่า การวิเคราะห์ถดถอยอย่างง่าย (Simple Regreesion Analysis) ซึ่งสามารถแสดงความสัมพันธ์ในรูปสมการเชิงเส้นหรือเส้นตรง โดยมีรูปแบบของสมการเส้นตรง y = a + bx เมื่อ a และ b เป็นค่าคงทีี่

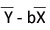
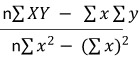
        สมการการถดถอยของตัวอย่างเขียนในรูปของค่าสถิติ ได้คือ

            = a + bx

            b =

            a =

Ex. จากข้อมูลในตารางเป็นคะแนนสอบกลางภาควิชาสถิติและวิชาอังกฤษของนักศึกษาแผนกวิชาคอมพิวเตอร์วิทยาลัยแห่งหนึ่งจำนวน 10 คน

คะแนนสอบวิชาสถิติ7555 71728095 95986582
คะแนนสอบวิชาอังกฤษ8065 78354885 98986683

   1. จงสร้างสมการการถดถอยที่แสดงความสัมพันธ์ระหว่างคะแนนสอบวิชาสถิติกับวิชาภาษาอังกฤษ
   2. ถ้านักศึกษาคนหนึ่งสอบวิชาสถิติได้ 70 คะแนน จะสอบวิชาภาษาอังกฤษได้ประมาณกี่คะแนน

    วิธีทำ

คะแนนสอบวิชาสถิติ(X)คะแนนสอบวิชาภาษาอังกฤษ(Y) X2Y2XY
7580 5,6256,4006,000
5565 3,0254,2253,575
7178 5,0416,0845,538
7235 5,1841,2252,520
8048 6,4002,3043,840
9585 9,0257,2258,075
9598 9,0259,6049,310
9898 9,6049,6049,604
6566 4,2254,3564,290
8283 6,7246,8896,806
788736 63,8785,791659,558

            b   =   

            b   =   

            b   =   

            b   =   0.8753

               =                   =   

               =                   =   

               =   78.8                =   73.6

            a   =   

            a   =   73.6 - 0.8753(78.8)

            a   =   73.6 - 68.97364

            a   =   4.6264

1. สมการการถดถอยที่แสดงความสัมพันธ์ระหว่างคะแนนสอบวิชาสถิติกับวิชาภาษาอังกฤษ คือ = a + bX
                                 = 4.6264 + 0.8753X

2. นักศึกษาคนหนึ่งสอบวิชาสถิติได้ 70 คะแนน X = 70
                                 = 4.6264 + 0.8753(70)
                                 = 4.6264 + 61.261
                                 = 65.8974
ดังนั้น นักศึกษาคนหนึ่งที่สอบวิชาสถิติได้ 70 คะแนน คาดว่าจะสอบวิชาภาษาอังกฤษได้ประมาณ 66 คะแนน

กลับหน้าหลัก
พัฒนาโดยนายธีระพงษ์ กระการดี วิทยาลัยอาชีวศึกษาสุโขทัย