ตารางแจกแจงปกติตารางค่า t ตารางค่า X2
หน้าหลัก
บทที่ 1 ความหมายของสถิติ
บทที่ 2 การวัดแนวโน้มเข้าสู่ส่วนกลาง
บทที่ 3 การวัดการกระจาย
บทที่ 4 ค่ามาตรฐาน
บทที่ 5 การประมาณค่า
บทที่ 6 การประมาณค่าผลต่างค่าเฉลี่ยสองประชากร
บทที่ 7 การประมาณค่าสัดส่วน
บทที่ 8 การทดสอบสมมติฐาน
บทที่ 9 การทดสอบค่าเฉลี่ยประชากร
บทที่ 10 การทดสอบผลต่างค่าเฉลี่ยสองประชากร
บทที่ 11 การทดสอบสัดส่วนประชากร
บทที่ 12 การทดสอบไคสแคว์
บทที่ 13 การเคราะห์สหสัมพันธ์
บทที่ 14 การวิเคราะห์การถดถอย

บทที่ 13

การวิเคราะห์สหสัมพันธ์ (Correlation Analysis)


        การวิเคราะห์สหสัมพันธ์ เป็นการศึกษาความสัมพันธ์ของตัวแปรตั้งแต่ 2 ตัวขึ้นไป ว่ามีความสัมพันธ์กันหรือไม่ สัมพันธ์กันมากน้อยเพียงใด โดยที่การวิเคราะห์สหสัมพันธ์จะแบ่งเป็น 2 ประเภท คือ
           1. การวิเคราะห์สหสัมพันธ์อย่างง่าย (Simple Correlation Analysis)
           2. การวิเคราะห์สหสัมพันธ์เชิงซ้อน (Multiple Correlation Analysis)

           ** ซึ่งในระดับนี้จะกล่าวเฉพาะการวิเคราะห์สหสัมพันธ์อย่าง่ายเท่านั้น **

การวิเคราะห์สหสัมพันธ์อย่างง่าย (Simple Correlation Analysis)

           เป็นการศึกษาระดับความสัมพันธ์ของ X กับ Y ว่า มีความสัมพันธ์กันมากน้อยเพียงใด และมีทิศทางความสัมพันธ์อย่างไร เมื่อ X เป็นตัวแปรอิสระ และ Y เป็นตัวแปรตาม
               ค่าสัมประสิทธิ์สหสัมพันธ์อย่างง่าย (Simple Correlation Coefficent) เป็นค่าที่วัดความสัมพันธ์ของ X กับ Y ว่า มีขนาดและทิศทางของความสัมพันธ์อย่างไร กำหนดให้ คือ สัมประสิทธิ์สหสัมพันธ์อย่างง่ายของประชากร เมื่อ –1 1 เนื่องจากในการวิเคราะห์สหสัมพันธ์ ไม่ได้เก็บข้อมูลจากประชากรแต่เป็นการเก็บข้อมูลจากกลุ่มตัวอย่าง ดังนั้น ค่าสัมประสิทธิ์ที่ได้ จึงเป็นค่าสัมประสิทธิ์สหสัมพันธ์อย่างง่ายของตัวอย่าง โดยใช้สัญลักษณ์ ว่า r เมื่อ –1 r 1
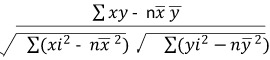
               สูตรในการคำนวณหาค่า r คือ    r   =   

               เมื่อ n = จำนวนตัวอย่าง
               = ค่าเฉลี่ยของตัวแปร x
               = ค่าเฉลี่ยของตัวแปร y

               ความหมายของค่า r
               1. ค่า r เป็น + แสดงว่า x กับ y มีความสัมพันธ์ในทิศทางเดียวกัน
               2. ค่า r เป็น – แสดงว่า x กับ y มีความสัมพันธ์ในทิศทางตรงกันข้าม
               3. ค่า r เป็น 0 แสดงว่า x กับ y ไม่มีความสัมพันธ์กันเลย
               4. ค่า | r | มีค่าเข้าใกล้ 1 แสดงว่า x กับ y มีความสัมพันธ์กันมาก
               5. ค่า | r | มีค่าเข้าใกล้ 0 แสดงว่า x กับ y มีความสัมพันธ์กันน้อย

                     ค่าสัมประสิทธิ์การตัดสินใจ (Coefficent of Determination) เป็นค่าที่แสดงว่าตัวแปร x มีอิทธิพลต่อตัวแปร y มากน้อยเพียงใด โดยที่ค่าสัมประสิทธิ์การตัดสินใจ มีค่าเท่ากับ กำลังสองของสัมประสิทธิ์สหสัมพันธ์ หรือ โดยที่

Ex. แผนกวิจัยตลาดของบริษัททวีสิน จำกัด ต้องการศึกษาความสัมพันธ์ระหว่างยอดขายและค่าใช้จ่ายในการโฆษณา โดยที่ข้อมูลเกี่ยวกับค่าใช้จ่ายและยอดขายในรอบ 8 ปีที่ผ่านมา มีดังนี้

ปีที่ค่าโฆษณา(แสนบาท)ยอดขาย(แสนบาท)
1540
2750
31060
41265
51570
62080
72592
830100

จงคำนวณหาค่าสัมประสิทธิ์สหสัมพันธ์ (r) และสัมประสิทธิ์การตัดสินใจ (r2) ของยอดขายสินค้าและค่าใช้จ่าย
ในการโฆษณาของบริษัททวีสิน จำกัด
    วิธีทำ
    กำหนดให้ x = ค่าใช้จ่ายในการโฆษณา
                  y = ยอดขาย
               เมื่อ n = 8

ปีที่xiyi xi2yi2 xiyi
1540 251,600 200
2750 492,500 350
31060 1003,600 600
41265 1444,225 780
51570 2254,900 1,050
62080 4006,400 1,600
72592 6258,464 2,300
830100 90010,000 3,000
รวม124557 2,46841,689 9,880

               = = 15.50
               = = 69.625
               r   =   

               r   =   

               r   =   0.9893
               และ    r2 = (0.9893)2 = 0.9787
               r = 0.9893 หมายความว่า ค่าใช้จ่ายในการโฆษณามีความสัมพันธ์กับยอดขายสินค้าในทิศทางเดียวกันประมาณ 98.93%
               r2 = 0.9787 หมายความว่า การเปลี่ยนแปลงของยอดขายสินค้ามีสาเหตุจากการเปลี่ยนแปลงค่าโฆษณาประมาณ 97.87%
ส่วนที่เหลืออีก 2.13% เป็นผลมาจากสาเหตุอื่น

กลับหน้าหลัก
พัฒนาโดยนายธีระพงษ์ กระการดี วิทยาลัยอาชีวศึกษาสุโขทัย