ตารางแจกแจงปกติตารางค่า t ตารางค่า X2
หน้าหลัก
บทที่ 1 ความหมายของสถิติ
บทที่ 2 การวัดแนวโน้มเข้าสู่ส่วนกลาง
บทที่ 3 การวัดการกระจาย
บทที่ 4 ค่ามาตรฐาน
บทที่ 5 การประมาณค่า
บทที่ 6 การประมาณค่าผลต่างค่าเฉลี่ยสองประชากร
บทที่ 7 การประมาณค่าสัดส่วน
บทที่ 8 การทดสอบสมมติฐาน
บทที่ 9 การทดสอบค่าเฉลี่ยประชากร
บทที่ 10 การทดสอบผลต่างค่าเฉลี่ยสองประชากร
บทที่ 11 การทดสอบสัดส่วนประชากร
บทที่ 12 การทดสอบไคสแคว์
บทที่ 13 การเคราะห์สหสัมพันธ์
บทที่ 14 การวิเคราะห์การถดถอย

บทที่ 11

การทดสอบเกี่ยวกับสัดส่วนของประชากร



การทดสอบสมมติฐานเกี่ยวกับสัดส่วนประชากรกลุ่มเดียว

     การทดสอบสัดส่วนของประชากรเดียว เป็นการทดสอบเมื่อต้องการทราบว่าสัดส่วนของประชากร เท่ากับสัดส่วนที่คาดคะเนไว้หรือไม่ โดยการศึกษาจากสัดส่วนของกลุ่มตัวอย่าง
     โดย ให้ P แทนสัดส่วนของประชากร P0 เป็นค่าคงที่ของสัดส่วนประชากรที่ต้องการ เปรียบเทียบหรือเป็นค่าสัดส่วนท่ีคาดว่าจะเป็น

สมมติฐานที่ต้องการทดสอบอยู่ในลักษณะ

      1. H0 : P = P0   แย้งกับ    H1 : P > P0

      2. H0 : P = P0   แย้งกับ    H1 : P < P0

      3. H0 : P = P0   แย้งกับ    H1 : P ≠ P0

เมื่อขนาดตัวอย่างที่สุมมามีขนาดใหญ่ ( n ≥ 30) และภายใต้ H0 เป็นจริง
      สถิติที่ใช้ทดสอบคือ Z   =   

      โดย q0  =    1 - P0
      เกณฑ์การตัดสินใจ ที่ระดับนัยสำคัญ α เป็นดังนี้

H0 H1บริเวณวิกฤต
H0 : P = P0 H1 : P > P0 Z ≥ Zα
H0 : P = P0 H1 : P < P0 Z ≤ Zα
H0 : P = P0 H1 : P ≠ P0 Z ≥ หรือ Z ≤

Ex.1บริษัทผู้ผลิตแผ่นซีดีเพลง ยืนยันว่า มี 20% ของผู้ซื้อแผ่นซีดี ในจังหวัดหนึ่งซื้อแผ่นซีดีปลอม ถ้าสุ่มตัวอย่าง ของผู้ซื้อซีดีในจังหวัดนี้มา 1000 คน พบว่ามี 236 คน ที่ซื้อแผ่นดีซีปลอม ที่ระดับนัยสำคัญ 0.01 คำยืนยันของบริษัทของสัดส่วนผู้ซื้อแผ่นซีดีปลอมเป็นจริงหรือไม่
   
วิธีทำ
   
ให้ P เป็นสัดส่วนของผู้ซื้อแผ่นซีดีปลอมในจังหวัดนี้

    1. ตั้งสมมติฐาน H0 : P = 0.20
                               H1 : P ≠ 0.20
    2. α = 0.01 , = 0.005
3. บริเวณวิกฤต คือ Z ≥ 2.57 หรือ Z ≤ -2.57

   

    4. ภายใต้ H0 เป็นจริง ตัวสถิติที่ใช้ทดสอบคือ    Z    =  

    เมื่อ    =     0.236   และ q0  = 1 - 0.02 = 0.80 จะได้
                               Z    =  
                                     =  2.846
    5. เพราะค่า Z จากการคำนวน ( 2.846) ตกอยู่ในบริเวณวิกฤต จึงปฏิเสธ H0 ยอมรับ H1
    6. สรุป สัดส่วนของครัวเรือนที่ซื้อแผ่นซีดีปลอมแตกต่างจาก 20% อย่างมีนัยสำคัญที่ระดับนัยสำคัญ 0.01 คำยืนยันของบริษัท ผู้ผลิตแผ่นซีดีไม่เป็นจริง ที่ระดับนัยสำคัญ 0.01

การทดสอบสมมติฐานเกี่ยวกับสัดส่วนของประชากร

     เมื่อ P1 และ P2 เป็นสัดส่วนของประชากรที่ 1 และ 2 ตามลำดับ P0 คือ ค่าคงที่ของผลต่างของสัดส่วนประชากรที่ต้องการทดสอบหรือยืนยันกับพารามิเตอร์

     สมมติฐานที่ใช้ในการทดสอบจะอยู่ในลักษณะ

      1. H0 : P1 − P2 = P0 แย้งกับ H 1 : P1 - P2 > P0

      2. H0 : P1 − P2 = P0 แย้งกับ H1 : P1 - P2 < P0

      3. H0 : P1 − P2 = P0 แย้งกับ H 1 : P1 - P2 ≠ P0

      เมื่อ n1 และ n2 คือขนาดตัวอย่างที่สุ่มมาจากประชากรที่ 1 และประชากรที่ 2 ตามลำดับ ซึ่งมีขนาดใหญ่ ( n1 และ n2 ≥ 30 )
      ตัวสถิติที่ใช้ทดสอบมี 2 กรณีคือ
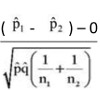
        1. เมื่อ P0 ≠ 0
        สถิติที่ใช้ คือ Z   =   

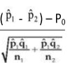
        2. เมื่อ P0 = 0
               เราจะประมาณ P1 และ P2 ด้วย    =   

               เมื่อ X1 และ X2จำนวนหนว่ยตัวอย่างที่มีลักษณะที่สนใจในตัวอย่างที่ 1 และ 2 ซึ่งสุ่มมา โดยอิสระกัน ตามลำดับ

               สถิติที่ใช้ คือ Z   =   

               เกณฑ์ในการตัดสินใจที่ระดับนัยสำคัญ α คือ

H0 H1บริเวณวิกฤต
H0 : P1 − P2 = P0 H1 : P1 - P2 > P0 Z ≥ Zα
H0 : P1 − P2 = P0 H1 : P1 - P2 < P0 Z ≤ Zα
H0 : P1 − P2 = P0 H1 : P1 - P2 ≠ P0 Z ≥ หรือ Z ≤

Ex.2 ในการศึกษาความพึงพอใจในการใช้ครีมบำรุงผิว 2 ยี่ห้อ โดยสุ่มจำนวนผู้ใช้ครีมบำรุงผิวทั้ง 2 ยี่ห้อ มายี่ห้อละ 200 คน พบว่ามีผู้ใช้ครีมบำรุงผิวยี่ห้อแรก 84 คน ยี่ห้อที่สอง 96 คน ที่ระดับนัยสำคัญ 0.05จะสรุปได้ไหมว่าผู้ใช้ครีมบำรุงผิวทั้ง 2 ยี่ห้อไม่แตกต่างกัน    
วิธีทำ
   
ให้ P1 คือ สัดส่วนผู้ใช้ครีมบำรุงผิวยี่ห้อชนิดที่ 1
     P2 คือ สัดส่วนผู้ใช้ครีมบำรุงผิวยี่ห้อชนิดที่ 2
     จากโจทย์จะได้ n1 = 200 , X1 = 84 , = = 0.42 , 1 = 1 - 0.42 = 0.58

                               n2 = 200 , X2 = 96 , = = 0.48 , 2 = 1 - 0.48 = 0.52

    ขั้นตอนการสมมติฐาน
     1. สมมติฐาน H0 : P1 − P2 = 0
                           H1 : P1 − P2 ≠ 0
     2. ระดับนัยสำคัญ α = 0.05
     3. บริเวณวิกฤต คือ Z ≥ 1.96 หรือ Z ≤−1.96
    

     4. ภายใต้ H0 เป็นจริง
     ตัวสถิติท่ีใช้่ทดสอบคือ    Z   =  

                                                    =

                                                    =

                                                    = - 1.206
     5. Z = − 1.206 ตกอยู่บริเวณยอมรับ จึงตัดสินใจยอมรับ H0
     6. สรุป สัดส่วนของผู้ใช้ครีมบำรุงผิวทั้ง 2 ยี่ห้อ มีสัดส่วนไม่แตกต่างกัน ที่ระดับ นัยสำคัญ 0.01

กลับหน้าหลัก
พัฒนาโดยนายธีระพงษ์ กระการดี วิทยาลัยอาชีวศึกษาสุโขทัย