ตารางแจกแจงปกติตารางค่า t ตารางค่า X2
หน้าหลัก
บทที่ 1 ความหมายของสถิติ
บทที่ 2 การวัดแนวโน้มเข้าสู่ส่วนกลาง
บทที่ 3 การวัดการกระจาย
บทที่ 4 ค่ามาตรฐาน
บทที่ 5 การประมาณค่า
บทที่ 6 การประมาณค่าผลต่างค่าเฉลี่ยสองประชากร
บทที่ 7 การประมาณค่าสัดส่วน
บทที่ 8 การทดสอบสมมติฐาน
บทที่ 9 การทดสอบค่าเฉลี่ยประชากร
บทที่ 10 การทดสอบผลต่างค่าเฉลี่ยสองประชากร
บทที่ 11 การทดสอบสัดส่วนประชากร
บทที่ 12 การทดสอบไคสแคว์
บทที่ 13 การเคราะห์สหสัมพันธ์
บทที่ 14 การวิเคราะห์การถดถอย

บทที่ 10

การทดสอบเกี่ยวกับผลต่างระหว่างค่าเฉลี่ยของสองประชากร

      เมื่อ μ1, μ2 คือ ค่าเฉลี่ยของประชากรที่ 1 และ 2 ตามลำดับ

      เมื่อ μ1 - μ2 คือ ค่าผลต่างของคาเฉลี่ยของสองประชากรดังกล่าว

สมมติฐานท่ีจะทดสอบอยู่ในลักษณะ

1. H0 : μ1 − μ2 แย้งกับ H 1 : μ1 > μ2

2. H0 : μ1 − μ2 แย้งกับ H1 : μ1 < μ2

3. H0 : μ1 − μ2 แย้งกับ H 1 : μ1 ≠ μ2

         ตัวสถิติที่ใช้ในการทดสอบขึ้นอยู่กับการแจกแจงของประชากร ความแปรปรวนของประชากรและขนาดของตัวอย่างที่สุ่มมา ซึ่งแบ่งได้ 3 กรณี คือ

             ประชากรท้ังสองมีการแจกแจงแบบปกติทราบค่าความแปรปรวน σ12 และ σ22

                เมื่อสุ่มตัวอย่างโดยอิสระจากประชากรที่ 1 และ 2 มาขนาด n1 และ n2 ตามลำดับ

                สถิติที่ใช้ทดสอบคือ Z =

                เกณฑ์การตัดสินใจที่ระดับนัยสำคัญ α เป็นดังนี้

H0 H1บริเวณวิกฤต
H0 : μ1 − μ2 H1 : μ1 > μ2 Z ≥ Zα
H0 : μ1 − μ2 H1 : μ1 < μ2 Z ≤ Zα
H0 : μ1 − μ2 H1 : μ1 ≠ μ2 Z ≥ หรือ Z ≤

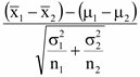
             ประชากรท้ังสองมีการแจกแจงแบบใด ๆ ไม่ทราบค่าความแปรปรวน σ12 และ σ22
             แต่สุ่มตัวอย่างขนาดใหญ่ ( n1 และ n 2 ≥ 30)

             สถิติที่ใช้ทดสอบคือ Z =

             เกณฑ์การตัดสินใจที่ระดับนัยสำคัญ α เช่นเดียวกับกรณีแรก ตารางข้างต้น

             ประชากรท้ังสองมีการแจกแจงแบบใด ๆ ไม่ทราบค่าความแปรปรวน σ12 และ σ22
             แต่สุ่มตัวอย่างขนาดเล็ก ( n1 และ n 2 < 30)
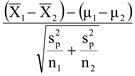
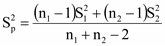
             สถิติที่ใช้ทดสอบขึ้นอยู่กับความแปรปรวนของประชากรท้ัง 2 กลุ่ม ดังนี้

                1. เมื่อ σ 1 =   σ2
                สถิติที่ใช้ทดสอบ    T    =

                เมื่อ df = n1 + n1

                และ

                เกณฑ์การตัดสินใจที่ระดับนัยสำคัญ α เป็นดังนี้

H0 H1บริเวณวิกฤต
H0 : μ1 − μ2 H1 : μ1 > μ2 T ≥ tα
H0 : μ1 − μ2 H1 : μ1 < μ2 T ≤ tα
H0 : μ1 − μ2 H1 : μ1 ≠ μ2 T ≥ หรือ T ≤

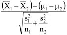
                2. เมื่อ σ 1 ≠   σ2
                สถิติที่ใช้ทดสอบ    T    =

                เมื่อ    df    =   

                เกณฑ์ในการตัดสินใจที่ระดับนัยสำคัญ α ใช้เกณฑ์เดียวกับกรณีที่ 1 เมื่อ σ 1 =   σ2

Ex.1 ครูผูสอนวิชาสถิติยืนยันว่า คะแนนสอบเฉลี่ยของนักศึกษาแผนกวิชาบัญชีสูงกว่าคะแนนสอบของนักศึกษาแผนกคอมพิวเตอร์ อย่างน้อยที่สุด อยู่ 12 คะแนน เพื่อทดสอบคำยืนยันครูผู้สอนจึงสุ่มตัวอย่างนักศึกษาทั้งสองแผนกแผนกละ จำนวน 50 คน นำมาทำการทดสอบโดยใช้แบบทดสอบเดียวกัน ปรากฎว่านักศึกษาแผนกวิชาบัญชีมีคะแนนเฉลี่ย 86.7 คะแน ส่วนเบี่ยงเบนมาตรฐาน 6.28 คะแนน และนักศึกษาแผนกวิชาคอมพิเตอร์ มีคะแนนเฉลี่ย 77.8 คะแนน ส่วนเบี่ยงเบนมาตรฐาน 5.61 คะแนน จงทดสอบคำยืนยันของครูผู้สอนวิชาสถิติ ที่ระดับนันสำคัญ 0.05
    วิธีทำ
   
จากโจทย์จะได้ค่าสถิติดังนี้

       =   86.7    s1  =  6.28      =   39.44    n1 =   50

       =   77.8    s2  =  5.61      =    31.47    n2 =   50

    ให้ μ1 แทน คะแนนเฉลี่ยของนักศึกษาแผนกวิชาบัญชี

    ให้ μ2 แทน คะแนนเฉลี่ยของนักศึกษาแผนกวิชาคอมพิวเตอร์

    1. ตั้งสมมติฐาน H0 : μ1 − μ2 = 12
                               H1 : μ1 − μ2 < 12
    2. α = 0.05
    3. บริเวณปฏิเสธ H0 คือ Z ≤ - Z0.05
                                           Z = - 1.645

   

    4. สถิติ    Z    =

                           =  

                           =   - 2.603
    5. เพราะ Z = - 2.603 ตกอยู่ในบริเวณวิกฤต จึงตัดสินใจปฏิเสธ H0
    6. สรุป คะแนนเฉลี่ยของนักศึกษาแผนกวิชาบัญชีสูงกว่าคะแนนเฉลี่ยของนักศึกษาแผนกคอมพิวเตอร์ น้อยกว่า 12 คะแนน อย่างมีนัยสำคัญที่ระดับ 0.05 คำยืนยันของครูผู้สอนไม่เป็นจริง ที่ระดับนัยสำคัญ 0.05

Ex.3 เภสัชกรต้องการต้องการทดสอบเซรุ่มใหม่ที่มีผลต่อการรักษาโรคลูคีเมียหรือไม่ โดยนำหนูที่เป็นโรคลูคีเมียขั้นรุนแรง จำนวน 9 ตัว โดยให้ 5 แรก ได้รับการฉีดเซรุ่ม ปรากฎว่ามีอายุเฉลี่ยอยู่รอด 2.86 ปี ส่วนเบี่ยงเบนมาตรฐาน 1.97 ปี และหนูอีก 4 ตัวไม่ได้รับการฉีดเซรุ่ม มีอายุเฉลี่ยอยู่รอด 2.075 ปี ส่วนเบี่ยงเบนมาตรฐาน 1.17 ปี ถ้าเวลาของการอยู่รอดของหนูมีการแจกแจงปกติและมีความแปรปรวนเท่ากัน จงตรวจสอบดูว่าเซรุ่มมีผลต่อการรักษาโรคลูคีเมียที่ระดับ 0.05 หรือไม่     วิธีทำ
   
จากโจทย์จะได้ค่าสถิติดังนี้

       =    2.86    s1  =   1.97      =    3.88    n1 =   5

       =    2.075    s2  =   1.17      =    1.36    n2 =    4

    เมื่อความแปรปรวนสองประชากรเท่ากัน จะได้
   
       =   
            =    2.8

    ข้ันตอนการทดสอบสมมติฐาน

    ให้ μ1 : เวลาที่อยู่รอดโดยเฉลี่ยของหนูที่ฉีดเซรุ่ม
          μ2 : เวลาที่อยู่รอดโดยเฉลี่ยของหนูที่ไมฉีดเซรุ่ม

    1. ตั้งสมมติฐาน H0 : μ1 − μ2 = 0
                               H1 : μ1 − μ2 > 12
    2. α = 0.05

    3. บริเวณปฏิเสธ H0 คือ    T    ≥   tα,
                                            T    ≥   t 0.05,7
                                            T    ≥   1.985
                                           

    4. สถิติในการทดสอบคือ   T    =   

                                                    =   

                                                    =   0.6993
    5. เนื่องจากค่า T จากการคำนวณ ( 0.6993) < 1.985 ตกอยู่ในบริเวณยอมรับ จึงตัดสินใจยอมรับ H0
    6. สรุป เวลาที่อยู่รอดโดยเฉลี่ยของหนูที่ฉีดเซรุ่มกับหนูที่ไม่ฉีดเซรุ่ม ไม่แตกต่างกัน ที่ระดับ นัยสำคัญ 0.05 ดังน้ันเซรุ่มดังกล่าวไม่มีผลช่วยใ การรักษาโรคลูคีเมีย

กลับหน้าหลัก
พัฒนาโดยนายธีระพงษ์ กระการดี วิทยาลัยอาชีวศึกษาสุโขทัย